இந்த பகுதியில் 2 செய்தித் துளிகள் உள்ளன . இந்தப் பக்கம் 2026-03-07 04:00:02 அன்று மேம்படுத்தப்பட்டது .

ஜோகோவிச்சைப் பழிதீர்த்த அல்கராஸ்..! பல சாதனைகள் முறியடிப்பு!

காஸா போர்: ஹமாஸுடன் தீவிர பேச்சுவார்த்தை! - டிரம்ப் தகவல்

கடன் வட்டியைக் குறைத்த கரூர் வைஸ்யா வங்கி!

ஆவணப் பதிவு மூலம் ஒரே நாளில் ரூ. 274.41 கோடி வருவாய் ஈட்டி சாதனை

உற்பத்தித் துறையில் 15 ஆண்டுகள் காணாத வளா்ச்சி

களமிறங்கிய 5 போட்டிகளிலும் அரைசதம்! கலக்கும் தென்னாப்பிரிக்க வீரர்!

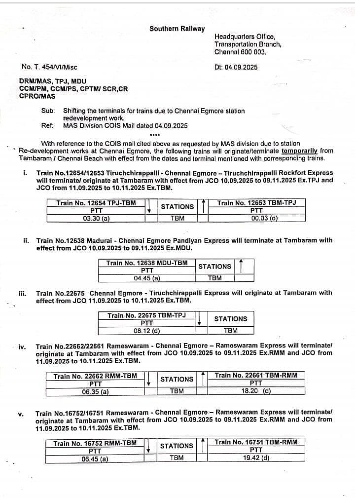
தாம்பரத்திலிருந்து புறப்படும் பாண்டியன், சோழன் உள்பட 5 விரைவு ரயில்கள்! செப்.10 முதல்.!

நிலையற்ற வர்த்தகத்தில் சென்செக்ஸ், நிஃப்டி! மாற்றமின்றி நிறைவடைந்த பங்குச் சந்தை!

அலெக்ஸ் ஹேல்ஸின் சாதனையை சமன்செய்த ஜோ ரூட்!